DANA BOS 2025
Daftar Sekolah di Sarolangun, Jambi Terima Dana BOS 2025 Lebih dari Rp 400 Juta
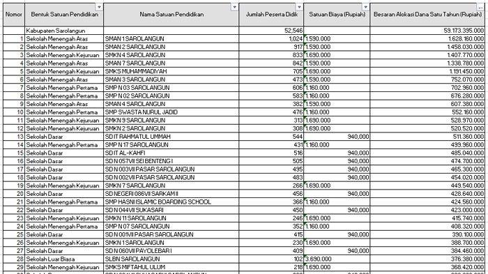
Kabupaten Sarolangun mendapatkan alokasi dana BOS 2025 sebesar Rp 59.173.395.000 untuk SD, SMP, SMA, dan SMK.
Editor:
Muhammad Adib
ist
DANA BOS - Kabupaten Sarolangun mendapatkan alokasi dana BOS 2025 sebesar Rp 59.173.395.000 untuk SD, SMP, SMA, dan SMK.
TRIBUNBATAM.id - Kabupaten Sarolangun mendapatkan alokasi dana BOS 2025 sebesar Rp 59.173.395.000 untuk SD, SMP, SMA, dan SMK.
Berikut ini daftar alokasi dana BOS 2025 Sarolangun tiap SD, SMP, SMA, dan SMK
Nomor | Bentuk Satuan Pendidikan | Nama Satuan Pendidikan | Jumlah Peserta Didik | Satuan Biaya (Rupiah) | Besaran Alokasi Dana Satu Tahun (Rupiah) |
---|---|---|---|---|---|
Kabupaten Sarolangun | 52,546 | 59.173.395.000 | |||
1 | Sekolah Menengah Atas | SMAN 1 SAROLANGUN | 1,024 | 1.590.000 | 1.628.160.000 |
2 | Sekolah Menengah Atas | SMAN 2 SAROLANGUN | 917 | 1.590.000 | 1.458.030.000 |
3 | Sekolah Menengah Kejuruan | SMKN 4 SAROLANGUN | 833 | 1.690.000 | 1.407.770.000 |
4 | Sekolah Menengah Atas | SMAN 7 SAROLANGUN | 842 | 1.590.000 | 1.338.780.000 |
5 | Sekolah Menengah Kejuruan | SMKS MUHAMMADIYAH | 705 | 1.690.000 | 1.191.450.000 |
6 | Sekolah Menengah Atas | SMAN 3 SAROLANGUN | 473 | 1.590.000 | 752.070.000 |
7 | Sekolah Menengah Pertama | SMP N 03 SAROLANGUN | 606 | 1.160.000 | 702.960.000 |
8 | Sekolah Menengah Pertama | SMP N 02 SAROLANGUN | 583 | 1.160.000 | 676.280.000 |
9 | Sekolah Menengah Atas | SMAN 4 SAROLANGUN | 382 | 1.590.000 | 607.380.000 |
10 | Sekolah Menengah Pertama | SMP SWASTA NURUL JADID | 476 | 1.160.000 | 552.160.000 |
11 | Sekolah Menengah Kejuruan | SMKN 9 SAROLANGUN | 313 | 1.690.000 | 528.970.000 |
12 | Sekolah Menengah Kejuruan | SMKN 2 SAROLANGUN | 308 | 1.690.000 | 520.520.000 |
13 | Sekolah Dasar | SD IT RAHMATUL UMMAH | 544 | 940,000 | 511.360.000 |
14 | Sekolah Menengah Pertama | SMP N 17 SAROLANGUN | 431 | 1.160.000 | 499.960.000 |
15 | Sekolah Dasar | SD IT AL-KAHFI | 516 | 940,000 | 485.040.000 |
16 | Sekolah Dasar | SD N 057VII SEI BENTENG I | 505 | 940,000 | 474.700.000 |
17 | Sekolah Dasar | SD N 003VII PASAR SAROLANGUN | 495 | 940,000 | 465.300.000 |
18 | Sekolah Dasar | SD N 002VII PASAR SAROLANGUN | 483 | 940,000 | 454.020.000 |
19 | Sekolah Menengah Kejuruan | SMKN 7 SAROLANGUN | 266 | 1.690.000 | 449.540.000 |
20 | Sekolah Dasar | SD NEGERI 086VII SARKAM II | 456 | 940,000 | 428.640.000 |
21 | Sekolah Menengah Pertama | SMP HASNI ISLAMIC BOARDING SCHOOL | 366 | 1.160.000 | 424.560.000 |
22 | Sekolah Dasar | SD N 044VII SUKASARI | 450 | 940,000 | 423.000.000 |
23 | Sekolah Menengah Kejuruan | SMKN 11 SAROLANGUN | 246 | 1.690.000 | 415.740.000 |
24 | Sekolah Menengah Pertama | SMP N 07 SAROLANGUN | 352 | 1.160.000 | 408.320.000 |
Berita Terkait: #DANA BOS 2025
Ternyata 6 Sekolah di Kabupaten Solok Dapat Dana BOS 2025 Rp 1 Miliar Lebih, Sekolahmu Masuk? |
![]() |
---|
Ternyata 4 Sekolah di Kabupaten Sijunjung Dapat Dana BOS 2025 Rp 1 Miliar Lebih, Sekolahmu Masuk? |
![]() |
---|
Ternyata 14 Sekolah di Pesisir Selatan Dapat Dana BOS 2025 Rp 1 Miliar Lebih, Sekolahmu Masuk? |
![]() |
---|
Ternyata 9 Sekolah di Pasaman Barat Dapat Dana BOS 2025 Rp 1 Miliar Lebih, Sekolahmu Masuk? |
![]() |
---|
Ternyata 11 Sekolah di Kabupaten Pasaman Dapat Dana BOS 2025 Rp 1 Miliar Lebih, Sekolahmu Masuk? |
![]() |
---|
Isi komentar sepenuhnya adalah tanggung jawab pengguna dan diatur dalam UU ITE.