DANA BOS 2025
Daftar Sekolah di Tojo Una-una Terima Dana BOS 2025 Lebih dari Rp 1 Miliar
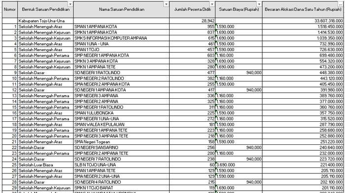
Kabupaten Tojo Una-una mendapatkan alokasi dana BOS 2025 sebesar Rp 33.607.318.000 untuk SD, SMP, SMA, dan SMK.
Editor:
Muhammad Adib
ist
DANA BOS - Kabupaten Tojo Una-una mendapatkan alokasi dana BOS 2025 sebesar Rp 33.607.318.000 untuk SD, SMP, SMA, dan SMK.
TRIBUNBATAM.id - Kabupaten Tojo Una-una mendapatkan alokasi dana BOS 2025 sebesar Rp 33.607.318.000 untuk SD, SMP, SMA, dan SMK.
Berikut ini daftar alokasi dana BOS 2025 Tojo Una-una tiap SD, SMP, SMA, dan SMK
Nomor | Bentuk Satuan Pendidikan | Nama Satuan Pendidikan | Jumlah Peserta Didik | Satuan Biaya (Rupiah) | Besaran Alokasi Dana Satu Tahun (Rupiah) |
---|---|---|---|---|---|
Kabupaten Tojo Una-Una | 28,942 | 33.607.318.000 | |||
1 | Sekolah Menengah Atas | SMAN 1 AMPANA KOTA | 955 | 1.590.000 | 1.518.450.000 |
2 | Sekolah Menengah Kejuruan | SMKN 1 AMPANA KOTA | 837 | 1.690.000 | 1.414.530.000 |
3 | Sekolah Menengah Kejuruan | SMKS INFORMASI KOMPUTER AMPANA | 615 | 1.690.000 | 1.039.350.000 |
Berita Terkait: #DANA BOS 2025
Ternyata 6 Sekolah di Kabupaten Solok Dapat Dana BOS 2025 Rp 1 Miliar Lebih, Sekolahmu Masuk? |
![]() |
---|
Ternyata 4 Sekolah di Kabupaten Sijunjung Dapat Dana BOS 2025 Rp 1 Miliar Lebih, Sekolahmu Masuk? |
![]() |
---|
Ternyata 14 Sekolah di Pesisir Selatan Dapat Dana BOS 2025 Rp 1 Miliar Lebih, Sekolahmu Masuk? |
![]() |
---|
Ternyata 9 Sekolah di Pasaman Barat Dapat Dana BOS 2025 Rp 1 Miliar Lebih, Sekolahmu Masuk? |
![]() |
---|
Ternyata 11 Sekolah di Kabupaten Pasaman Dapat Dana BOS 2025 Rp 1 Miliar Lebih, Sekolahmu Masuk? |
![]() |
---|
Isi komentar sepenuhnya adalah tanggung jawab pengguna dan diatur dalam UU ITE.