DBH Sumber Daya Alam
Natuna Vs Anambas, Siapa Paling Kaya dari Bagi Hasil Sumber Daya Alam Kepri 2025? Daftar Lengkapnya
Untuk kategori Kabupaten, Kepulauan Anambas dan Natuna adalah yang terbesar di Kepri.
Editor:
Prawira Maulana
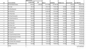
TRIBUNBATAM.ID - Berikut adalah daftar Dana Bagi Hasil (DBH) Sumber Daya Alam (SDA) untuk daerah di Provinsi Kepulauan Riau (Kepri) 2025. Untuk kategori Kabupaten, Kepulauan Anambas dan Natuna adalah yang terbesar di Kepri. Sumber Kemenkeu RI.
*Geser Tabel Untuk Melihat Angka Lengkap
(Dalam Ribuan Rupiah)
| No | NAMA DAERAH | IIUPH/PSDH (KEHUTANAN | DR (KEHUTANAN) | MIGAS | MINERBA | PERIKANAN | PANAS BUMI | Total DBH SDA |
| 488 | Provinsi Kepulauan Riau | 34,740 | 534,607 | 49,431,811 | 6,628,549 | - | - | 56,629,707 |
| 489 | Kab. Natuna | 34,963 | - | 78,153,252 | 1,039,028 | 5,402,807 | - | 84,630,050 |
| 490 | Kab. Kepulauan Anambas | 5,790 | - | 48,709,371 | 660,381 | 4,352,786 | - | 53,728,328 |
| 491 | Kab. Karimun | 6,627 | - | 14,065,153 | 16,009,125 | 2,622,481 | - | 32,703,386 |
| 492 | Kota Batam | 8,499 | - | 14,065,153 | 651,297 | 2,440,172 | - | 17,165,121 |
| 493 | Kota Tanjung Pinang | 10,388 | - | 14,065,153 | 646,904 | 943,898 | - | 15,666,343 |
| 494 | Kab. Lingga | 57,544 | - | 14,358,177 | 3,253,358 | 5,349,415 | - | 23,018,494 |
| 495 | Kab. Bintan | 14,318 | - | 14,065,153 | 650,354 | 4,273,158 | - | 19,002,983 |
| TOTAL | 302,544,412 |
:quality(30):format(webp):focal(0.5x0.5:0.5x0.5)/batam/foto/bank/originals/DBH-SDA-Kepri-2025.jpg)