dana bos
Daftar Sekolah di Rokan Hilir, Riau Terima Dana BOS 2025 Lebih dari Rp 600 Juta
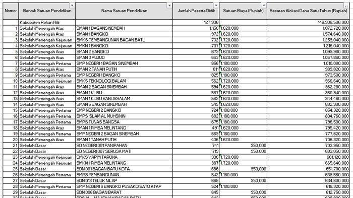
Kabupaten Rokan Hilir mendapatkan alokasi dana BOS 2025 sebesar Rp 146.908.506.000 untuk SD, SMP, SMA, dan SMK.
Tayang:
Editor:
Muhammad Adib
ist
DANA BOS - Kabupaten Rokan Hilir mendapatkan alokasi dana BOS 2025 sebesar Rp 146.908.506.000 untuk SD, SMP, SMA, dan SMK.
TRIBUNBATAM.id - Kabupaten Rokan Hilir mendapatkan alokasi dana BOS 2025 sebesar Rp 146.908.506.000 untuk SD, SMP, SMA, dan SMK.
Berikut ini daftar alokasi dana BOS 2025 Rokan Hilir tiap SD, SMP, SMA, dan SMK
| Nomor | Bentuk Satuan Pendidikan | Nama Satuan Pendidikan | Jumlah Peserta Didik | Satuan Biaya (Rupiah) | Besaran Alokasi Dana Satu Tahun (Rupiah) |
|---|---|---|---|---|---|
| Kabupaten Rokan Hilir | 127,936 | 146.908.506.000 | |||
| 1 | Sekolah Menengah Atas | SMAN 1 BAGANSINEMBAH | 1,156 | 1.620.000 | 1.872.720.000 |
| 2 | Sekolah Menengah Atas | SMAN 1 BANGKO | 972 | 1.620.000 | 1.574.640.000 |
| 3 | Sekolah Menengah Kejuruan | SMKS PEMBANGUNAN BAGAN BATU | 732 | 1.720.000 | 1.259.040.000 |
| 4 | Sekolah Menengah Kejuruan | SMKN 1 BANGKO | 707 | 1.720.000 | 1.216.040.000 |
| 5 | Sekolah Menengah Atas | SMAN 2 BANGKO | 679 | 1.620.000 | 1.099.980.000 |
| 6 | Sekolah Menengah Atas | SMAN 3 PUJUD | 653 | 1.620.000 | 1.057.860.000 |
| 7 | Sekolah Menengah Pertama | SMP NEGERI 1 BAGAN SINEMBAH | 856 | 1.180.000 | 1.010.080.000 |
| 8 | Sekolah Menengah Atas | SMAN 2 TANAH PUTIH | 611 | 1.620.000 | 989.820.000 |
| 9 | Sekolah Menengah Pertama | SMP NEGERI 1 BANGKO | 825 | 1.180.000 | 973.500.000 |
| 10 | Sekolah Menengah Kejuruan | SMKS TEKNOLOGI BALAM | 562 | 1.720.000 | 966.640.000 |
| 11 | Sekolah Menengah Atas | SMAN 2 BAGAN SINEMBAH | 594 | 1.620.000 | 962.280.000 |
| 12 | Sekolah Menengah Atas | SMAN 1 KUBU | 587 | 1.620.000 | 950.940.000 |
| 13 | Sekolah Menengah Atas | SMAN 1 KUBU BABUSSALAM | 583 | 1.620.000 | 944.460.000 |
| 14 | Sekolah Menengah Atas | SMAN 5 BAGAN SINEMBAH | 545 | 1.620.000 | 882.900.000 |
| 15 | Sekolah Menengah Pertama | SMP NEGERI 2 BANGKO | 724 | 1.180.000 | 854.320.000 |
| 16 | Sekolah Menengah Pertama | SMPS ISLAM AL MUHSININ | 682 | 1.180.000 | 804.760.000 |
| 17 | Sekolah Menengah Pertama | SMPS TUNAS BANGSA | 675 | 1.180.000 | 796.500.000 |
| 18 | Sekolah Menengah Atas | SMAN 1 RIMBA MELINTANG | 491 | 1.620.000 | 795.420.000 |
| 19 | Sekolah Menengah Pertama | SMP NEGERI 2 BAGAN SINEMBAH | 659 | 1.180.000 | 777.620.000 |
| 20 | Sekolah Menengah Atas | SMAN 1 TANAH PUTIH | 436 | 1.620.000 | 706.320.000 |
| 21 | Sekolah Dasar | SD NEGERI 001 PANIPAHAN | 741 | 950,000 | 703.950.000 |
| 22 | Sekolah Dasar | SD NEGERI 007 SERUSA MATI | 719 | 950,000 | 683.050.000 |
| 23 | Sekolah Menengah Kejuruan | SMKS YAPIM TARUNA | 396 | 1.720.000 | 681.120.000 |
| 24 | Sekolah Menengah Kejuruan | SMKN 1 RIMBA MELINTANG | 387 | 1.720.000 | 665.640.000 |
| 25 | Sekolah Dasar | SDN 001 BAGAN BATU KOTA | 686 | 950,000 | 651.700.000 |
| 26 | Sekolah Menengah Pertama | SMPS PEMBANGUNAN | 542 | 1.180.000 | 639.560.000 |
| 27 | Sekolah Dasar | SDN 013 TELUK NILAP | 668 | 950,000 | 634.600.000 |
| 28 | Sekolah Menengah Pertama | SMP NEGERI 6 BANGKO PUSAKO SATU ATAP | 524 | 1.180.000 | 618.320.000 |
| 29 | Sekolah Dasar | SDN 006 BAGAN BARAT | 645 | 950,000 | 612.750.000 |
| 30 | Sekolah Dasar | SDS AL - MAJIDIYAH BAGAN BATU | 642 | 950,000 | 609.900.000 |
:quality(30):format(webp):focal(0.5x0.5:0.5x0.5)/batam/foto/bank/originals/Dana-BOS-Rokan-Hilir.jpg)