TAG
		efisiensi anggaran
	
	
		
		
				
		
		
						
												- 
															
										
						
						Dampak efisiensi anggaran, kegiatan Bimtek, dan lomba bercerita anak pada Dinas Perpustakaan Anambas dihapus, pengadaan buku bacaan dikurangi
	
						Jumat, 14 Februari 2025 
					 
				 
												- 
															
										
						
						Pemerintah melakukan efisiensi anggaran, termasuk pemangkasan perjalanan dinas. Bagaimana dampaknya ke industri MICE Batam, ini kata Disbudpar
	
						Jumat, 14 Februari 2025 
					 
				 
												- 
															
										
						
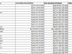
						Daftar Lengkap Perbandingan Dana Alokasi Khusus (DAK) Sebelum dan Sesudah efisiensi
	
						Kamis, 13 Februari 2025 
					 
				 
												- 
															
										
						
						Perhimpunan Hotel dan Restoran Indonesia (PHRI) cabang Kabupaten Karimun menanggapi pemangkasan anggaran oleh Presiden Prabowo Subianto
	
						Kamis, 13 Februari 2025 
					 
				 
												- 
															
										
						
						Seperti penerbangan, rumah makan, perhotelan, hingga transportasi darat akan merasakan dampak itu
	
						Kamis, 13 Februari 2025 
					 
				 
												- 
															
										
						
						Kepala Badan Narkotika Nasional Republik Indonesia (BNN RI) ungkap alasan instansinya tak terdampak efisiensi anggaran pemerintah pusat.
	
						Kamis, 13 Februari 2025 
					 
				 
												- 
															
										
						
						Dana alokasi khusus (DAK) Fisik 2025 Lampung turun sebesar Rp 5.095.828.859.000 akibat efisiensi anggaran.
	
						Kamis, 13 Februari 2025 
					 
				 
												- 
															
										
						
						Dana alokasi khusus (DAK) fisik 2025 wilayah Bengkulu dipangkas Rp 382.883.958.000 akibat efisiensi anggaran.
	
						Kamis, 13 Februari 2025 
					 
				 
												- 
															
										
						
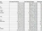
						Daftar Lengkap Perbandingan Dana Alokasi Umum (DAU) Sebelum dan Sesudah efisiensi
	
						Rabu, 12 Februari 2025 
					 
				 
												- 
															
										
						
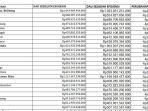
						Daftar Lengkap Perbandingan Dana Alokasi Umum (DAU) Sebelum dan Sesudah efisiensi
	
						Rabu, 12 Februari 2025 
					 
				 
												- 
															
										
						
						Daftar Lengkap Perbandingan Dana Alokasi Umum (DAU) Sebelum dan Sesudah efisiensi
	
						Rabu, 12 Februari 2025 
					 
				 
												- 
															
										
						
						Daftar Lengkap Perbandingan Dana Alokasi Umum (DAU) Sebelum dan Sesudah efisiensi
	
						Rabu, 12 Februari 2025 
					 
				 
												- 
															
										
						
						Daftar Lengkap Perbandingan Dana Alokasi Umum (DAU) Sebelum dan Sesudah efisiensi
	
						Rabu, 12 Februari 2025 
					 
				 
												- 
															
										
						
						Daftar Lengkap Perbandingan Dana Alokasi Umum (DAU) Sebelum dan Sesudah efisiensi
	
						Rabu, 12 Februari 2025 
					 
				 
												- 
															
										
						
						Daftar Lengkap Perbandingan Dana Alokasi Umum (DAU) Sebelum dan Sesudah efisiensi
	
						Rabu, 12 Februari 2025 
					 
				 
												- 
															
										
						
						Daftar Lengkap Perbandingan Dana Alokasi Umum (DAU) Sebelum dan Sesudah efisiensi
	
						Rabu, 12 Februari 2025 
					 
				 
												- 
															
										
						
						Gubernur Kepri Ansar Ahmad telah meminta seluruh Organisasi Perangkat Daerah (OPD) di Pemprov untuk melakukan penghematan, tindaklanjut Inpres
	
						Rabu, 12 Februari 2025 
					 
				 
												- 
															
										
						
						Kepala BKN, Zuda Arif atur waktu kerja pegawainya termasuk memperbolehkan dua hari dalam sepekan bekerja dimana saja (WFA) imbas efisiensi anggaran.
	
						Rabu, 12 Februari 2025 
					 
				 
												- 
															
										
						
						Legislator Kepri minta kaji ulang pemangkasan anggaran agar pembangunan lancar, lapangan kerja terjaga, dan ekonomi daerah terus berkembang.
	
						Rabu, 12 Februari 2025 
					 
				 
												- 
															
										
						
						Daftar Lengkap Perbandingan Dana Alokasi Umum (DAU) Sebelum dan Sesudah efisiensi
	
						Selasa, 11 Februari 2025 
					 
				 
							
		    
			
		 
		
	 
 		 
		
	    	
			
		
	
		© 2025 TRIBUNnews.com Network,a subsidiary of KG Media.
	 
	
		
All Right Reserved